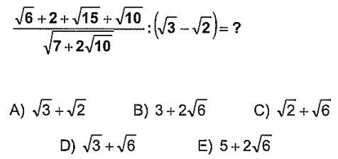
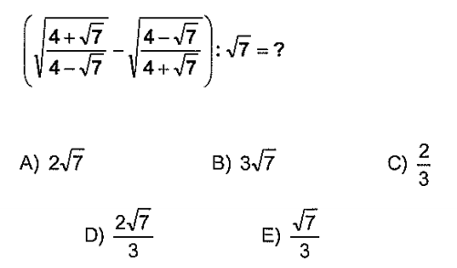
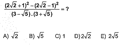
math1/unit3-4 Welcome to your math1/unit3-4 Name Phone Number 1. A B C D E None 2. A B C D E None 3. A B C D E None 4. A B C D E None 5. A B C D E None 6. A B C D E None 7. A B C D E None 8. A B C D E None 9. A B C D E None 10. A B C D E None 11. A B C D E None 12. A B C D E None 13. A B C D E None 14. A B C D E None 15. A B C D E None 16. A B C D E None 17. A B C D E None 18. A B C D E None 19. A B C D E None 20. A B C D E None 21. A B C D E None 22. A B C D E None 23. A B C D E None 24. A B C D E None 25. A B C D E None Time's upTime is Up! adminشارك بتعليقك إلغاء الردلن يتم نشر عنوان بريدك الإلكتروني. الحقول الإلزامية مشار إليها بـ *التعليق *الاسم * البريد الإلكتروني * الموقع الإلكتروني احفظ اسمي، بريدي الإلكتروني، والموقع الإلكتروني في هذا المتصفح لاستخدامها المرة المقبلة في تعليقي. Δ